CAS#: 24599-21-1
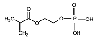
HEMA Phosphate is a liquid adhesive system that bonds to and interacts with calcium-containing substrates. Also commonly known as ethylene glycol methacrylate phosphate.
Unit of Measure
Typical Properties
CAS # |
N/A 24599-21-1 |
Common Name |
N/A HEMA Phosphate |
Chemical Name |
N/A ethylene glycol methacrylate phosphate |
Molecular Formula |
N/A C6H11O6P |
Molecular Weight |
N/A 210.130 |
Refractive Index |
N/A 1.469 |
Acidity (KOH per gram) |
N/A >200 mg |
MeHQ Inhibitor |
N/A 100 ppm |
Toxic Substance Control Act List |
N/A Listed |
