CAS#: 148019-46-9
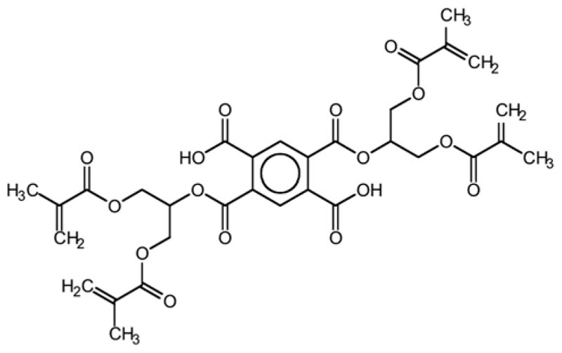
Dissolving pyromellitic glycerol dimethacrylate, also known as Bis (Glyceryl Dimethacrylate) Pyromellitate or PMGDM in triethyleneglycol dimethcrylate rather than acetone decreases the polarity and odor of this system. The low volatility of TEGDMA also extends the work time.
Unit of Measure
Typical Properties
CAS # |
N/A 148019-46-9 |
Acronym |
N/A PMGDM |
Chemical Name |
N/A Dissolving pyromellitic glycerol dimethacrylate, also known as Bis (Glyceryl Dimethacrylate) Pyromellitate |
Molecular Formula |
N/A C32H34O16 |
Molecular Weight |
N/A 674.608 |
Refractive Index |
N/A 1.489 |
Toxic Substance Control Act List |
N/A Listed |
Viscosity |
N/A 450 cps |
Solids (%) |
N/A 50 |
Color (APHA) |
N/A <200 |
