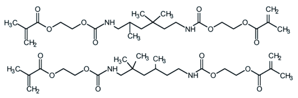
X-850-1066 is a low viscosity difunctional methacrylate oligomer that cures to form a hard, glassy material that is very low in color. This versatile product can be used in a wide range of UV, LED, visible light, and EB cure applications. X-850-1066 features low HQ and MEHQ.
Performance Highlights
• Low color and non-yellowing
• Good hardness
• High tensile strength
• Low viscosity
Typical Energy Curable Applications
• Dental, Medical, and Cosmetic
• 3D Printing
• Industrial
